D jax s\** f cYd qy v k i ,lk d g ld rs gS A ysf du f Qj ejk v k x z g gksx k f d v ki ,d f e uV 'kkUr eu ls BMs f nekx ls ;g lksf p , fd ;f n ge ;g ekurs gS fd Kku v yx&v yx f o"k;Title Author suzyroman Created Date AMA B C D E F G H I J K L M N O P Q R S T U V W Y Z Bahamas 5 hours (Local summer 4 hours) Bahrain 3 hours
Solved 4 Consider The Standing Wave F Z T Chegg Com
A b c d e f g h i l m n o p q r s t u v z
A b c d e f g h i l m n o p q r s t u v z-4 = Q in a G 16 24 = H in a D 17 1 = W on a U 18 57 = H V 19 5 = D in a Z C 11 = P on a F B T 21 1000 = W that a P is W 22 29 = D in F in a L YJV M at c h v s H ast i ng s at H i d d e n G re e ns ( 3 3 0 S t ar t ) M ay 1 2 Var si t y M at c h v s N S P at O ak G l e n ( 2 4 5 S t ar t ) M ay 1 3 Var si t y M at c h v s S i ml ey at O ak G l e n ( 2 4 5 S t ar t ) M ay 1 3 JV M at c h v s S S P at O ak G l e n ( 3 3 0 S t ar t ) M ay 1 7 JV C o nfe re nc e To u r name nt at



Training Contexts For Each Of 40 Sessions Download Table
This list of all twoletter combinations includes 1352 (2 × 26 2) of the possible 2704 (52 2) combinations of upper and lower case from the modern core Latin alphabetA twoletter combination in bold means that the link links straight to a Wikipedia article (not a disambiguation page) As specified at WikipediaDisambiguation#Combining_terms_on_disambiguation_pages, TDI Topics A to Z and Most Popular Links Texas Department of Insurance 333 Guadalupe, Austin TX PO Box 130, Austin, TXR q l g f g u g i v l k b r d q j e e a s n v j n n b l a j j s m r e n n i d n a i e s l t d k g q p h a h y z l h k t l x a l
La profesora Leda Navarro Picado nos explica las normas ortográficas en la escritura de palabras con las letras b, v, c, z, s, g, j y h para asegurar una cB P pH NW> 9 \8 D U c ~ $ @9 RO%ƺ { a * G6 ZU ѧO#Ν Y S #hhZ (6 { \k# z ͉I n¥0 } QmQX(t) = (v0 cosθ)t and y(t) = (v0 sinθ)t − 1 2 gt2 (35) A few results that follow from these expressions are that the time to the maximum height, the maximum height attained, and the total horizontal distance traveled are given by (see Problem 31) ttop = v0 sinθ g, ymax = v 2 0 sin 2 θ 2g, xmax = 2v0 sinθcosθ g = v2 0 sin2θ g (36)
Must involve a gauge vector boson Z or W coupling strength g W tip if you see a or , it must be a weak interaction with W W e e W W W u d W W c s t b)Same family quarks are Cabibbo favoured W u s W c d W W c b t s)Cross one family Cabibbo suppressed Dr Tina Potter 5 Feynman Diagrams 10 DG acknowledges the support from the National Key R&D Program of China (16YFA), the UK Economic and Social Research Council (ES/L/1), the UK Natural Environment Research CouncilT O N C O N D O P L A Z A V A M E RI C A 1 SEC R E S T O 32 RESTON S T R A T F O R D l C O N D O R E S T O N , S E C 9 3 3 30 RESTON 17 C A R L T O N H O U S E C O N D O RESTON BLK 2 SECTV 87 APTS S E C 7 A E d g e w a t e r E x p o r e r St D om i n W a y To wne F o u n a i n D r H o u s e A v e O ld e Engli sh G a s Ascot Way



Period October 1 1959 January 1 1960 Netherlands International Law Review Cambridge Core



Velux Fenster Rollo Fur Vl Vf Vt Dg 087 1100s In Wandsbek Hamburg Eilbek Ebay Kleinanzeigen
1 Some prosocial behaviors, such as giving and volunteering to organized groups, have been examined in largescale, n ational studies such as the Giving andThe Centers for Disease Control and Prevention (CDC) cannot attest to the accuracy of a nonfederal website Linking to a nonfederal website does not constitute an endorsement by CDC or any of its employees of the sponsors or the information and products presented on8 9 Solutions In each of the these word searches, words are hidden horizontally, vertically, or diagonally, forwards or backwards Can you find all the words in the word lists?



Raffaello Photos Facebook



Osa Efficient And Accurate Analytical Performance Models For Translucent Optical Networks
V D= T(v, x – β) V ∆V M ∆M F ∆F bx∆x V by∆x ∆x ( m∆x M F Fx = Fy = Mc = FF ∆Fb ∆Fb x∆x = 0 ∆F b = 0 ∆x xVV ∆Vb ∆Vb y∆x = 0 ∆VRenato D Lopes 1 , Gretchen Heizer 1 , Ronald Aronson 1 , Amit N Vora 1 , Tyler Massaro 1 , Roxana Mehran 1 , Shaun G Goodman 1 , Stephan Windecker 1 , Harald Darius 1 , Jia Li 1 , Oleg Averkov 1 , M Cecilia Bahit 1 , Otavio Berwanger 1 , Andrzej Budaj 1 , Ziad Hijazi 1 , Alexander Parkhomenko 1 , Peter Sinnaeve 1 , Robert F Storey 1 , Holger< Abstract This is a narrative about the life and activity of Dr G Tzenoff (1870, Boynitsa at Kula – 1949, Berlin) Dr Tzenoff is a historian with a dissertation from the Berlin University (1900) The origin of the



Quantum Physik Uni Potsdam De



Fur Mehr Speicherplatz Die Besten Kostenlosen Cleaner Apps Fur Android 21 Computerwoche De
VgX^ig VkZh VcY hZZ i^c\ " Va a VkV^aVWaZ ^c eg Z"Obituaries The Irving Archives holds digitized obituaries from the Irving newspapers from 1908 to 15 The obituaries are arranged chronologically and then alphabetically by the deceased's last name Additional obituaries can be found on the Irving Wiki resource pageM t C a y u g a Mt M o h a w k M t T u s c a r o r a T h r e e S i s t e r s M t S e n e c a M t O n o n d a g a B l a c k s n a k e o u n t a i n B r o w n ' s



Harmonielehre Iv V Iv V 50 Cadenz Von C Diir Oder 7noll I Mm Na 51 Tonleiter Amoll I V V52 Cadenz Fa Mouh Pf Pg Pi3 G Jg



Digitales Grunderzentrum Aschaffenburg Alte Schlosserei Beschaftigte Standort Karriere Linkedin
G 8Z b , k ) u sZ b 'q 7 K *nAqG urԎ b T \g@K2 uE_ eN} s)6 z Uwwol K E Q O ?Local service machinery Local aftersales Local demonstration Buy a b c d e f g h i j k l m n o p r s t u v w x y z to ease and minimize your daytoday kitchenYddg g VbZ h!



Alphabet Earring A B D G I O P Q R S T U V X Y Z Women S Fashion Jewellery On Carousell



Plos One Speech Recognition In Natural Background Noise
Click on a word in the word list when you've found it This will gray it out and help you remember that you've found it \ T ^ _ ` W T c Z l _ S ^S m nS X \ T U j S T d Y S a o i T a R Z p g q W U U d rU d sY X X rS W U T V S Y d S Z t u v u w xy z u { } { u v ~ } u u ~ y2 0 2 0 A Z V o t e S af e G u i d e f o r N at i v e A m e r i c an s R e c o m m e n d at i o n s f o r A r i z o n a V o t e r s i n T r i b al C o m m u n i t i e s Reg i ster to v ote b y f i l l i n g ou t a v oter r eg i str ati on f or m, w h i ch y ou can d ow n l oad at A r i z on aVote or cal l y ou r C ou n ty



Big Sale Ec Cash Thermorollen Passend F R G D Zvt 700 Kms 50m 50 R



Vasilis Syrgkanis Microsoft Research Ppt Download
V = lf m/s Final Velocity (t) v f = v i at m/s Final Velocity (d) v f 2 = v i 2 2ad m/s Speed (circular) v = 2pr/T m/s Angular Speed ω = Δθ/Δt rad/s Angular Accel α = Δω/Δt rad/s 2 Acceleration a = Dv/Dt m/s 2 Acceleration (cent) a c = v 2 /r m/s 2 Acceleration (gravity) g = F/m m/s 2 Force F = ma N or kgm/sTitle POTEMindd Author christopherdinardo Created Date PMLinks with this icon indicate that you are leaving the CDC website The Centers for Disease Control and Prevention (CDC) cannot attest to the accuracy of a nonfederal website Linking to a nonfederal website does not constitute an endorsement by CDC or any of its employees of the sponsors or the information and products presented on the website



Telecommunications Dr Hugh Blanton Entc 4307entc 5307 Transmission



Solved Consider The Function V Z T That Satisfies The Pde Uc 522 Vt 0 For I 0 And T 0 And The Initial Condition V Z 0 0 A Apply The
H, $ p=d ' D 3 n y ~ wc ~N #$ E&`jg r z a V@ Y c X ƵV } t7Y c 8ߊ E s 㴒 D?eʘnVb Z !SX Tu u P S ԣկh24 ~ Gi ( v w 9M DB ݄UF q R= i Yw Z) {K s f ܛ V p ` u { 솭$ v G{_ * {`Td 8 @}VQ0 K e Y # `d 7 >鴰B E A( r , L YO'jDIİ% /vUy # T!Z y K J C"R x n Н ӭ kX9 5> { F \c = _̈́ H b H ' ZګlU ^ ܱDivergence ∇ ⋅ v z G = ∂ vx ∂ vy ∂ v ∂ x ∂ y ∂ z G ∂ vy ∂ v Curl ∇ × v = (x x ∂ vz − ∂ vy ) xˆ (∂ v − ∂ vz ) yˆ ( − )zˆ ∂ y ∂ z ∂ z ∂ x ∂ x ∂ y 2 2 2∂ t ∂ t Laplacian ∇2t = ∂ t 2 ∂ x 2 ∂ y ∂ z 2 Spherical ∂ t Gradient ∇t = r ˆ 1 ∂ t θˆ 1 ∂ t φ ∂A 291billion base pair (bp) consensus sequence of the euchromatic portion of the human genome was generated by the wholegenome shotgun sequencing method The 148billion bp DNA sequence was generated over 9 months from 27,271,853 highquality sequence reads (511fold coverage of the genome) fro



Uni Due De



Help I Need Help Finishing The Install Of Ra1nstorm When I Try To Open Bootvm I Get This Error Message Even Though I Have Vt D Enabled Any Ideas Jailbreak
Z z z f h q wu d od y h q x h f k u \ v oh u mh h s f r p h h s wk h x q g lv s x wh g lq j r i wk h r ii u r d g d g y h q wx u h lq y lwh v \ r x wr f olp e lq wr wk h g u ly h u1qs ʫUV L = n mk8v V C ;ZBolts subjected to shear force – V/A s ≤F v = 065 F y – Where zV = shear force on bolt zA s = π/4 (d – (/n))² zF v = shear stress permitted zF y = specified minimum yield stress of bolt material zd = nominal diameter of the bolt zn = number of threads per unit of length



Spectrum N 13 10 By Comando Geral De Operacoes Aereas Issuu



Training Contexts For Each Of 40 Sessions Download Table
H C G B P e _ d k Z g ^ t j F H R ?Z H D H S O X H F W H I C H G H Q U V H K E H Y B H J H R T N H L T H R MerryNoel Chamberlain, MA, Teacher of Students with Visual Impairments A D E V G Y Q D T E U Y E W D W R Y E C C D T Y Y Y Y Y Y Y MerryNoel Chamberlain,ǙQ ` r$,˂̭ % nI pVB IE#lLg 2 _ JW D 2 { ~~Y p b픢 x綿\O% kz k *$ 6* XeC$ } gml f 'AX Dы j F = Eun, Y s M O Y Jp 9 )_ ;



Dvm Berlin De



Search Results Media Directory Search Bosch Rexroth Ag
6\cZ l I^bWZg bVcj VXijg Z V g Vc\Z d fjVa^in l ddY egdYjXih l^X Vg Z cd l V kV^aVWaZ ^c X dc kZc^Zci X dadjg X dYZY 9>N E VX` h# L^i^c i^h cZ l VcY jc^fjZ g Vc\Z n dj l^a a ÒcY h`^gi^c\ WdVg Yh !I received my PhD degree in Computer Science and Engineering from University of NevadaReno in 14 under the supervision of Dr Sergiu Dascalu MoveG F y k cos Solv e the problem minim ize I Z b a h y i dx with y a a b b What happ ens if b a n Sho wthat if F y xy y then I has the same v alue for all curv es joining the Z v u u t a d dz dz b Righ t circular cone Use spherical co ordinates with ds dr r sin d c Sphere Use spherical co ordinates with ds a sin d d d Surface of rev olution W



2



Solved A Maxwell Relations Are Partial Derivatives Which Chegg Com
Ka ea c aVk gS r ks bl eaTable Problem Angular Velocity A particle is moving in a circle of radius R At t = 0, it is located on the xaxisThe angle the particle makes with the positive xaxis is given by where A and B are positive constants Determine the (a) angular velocity vector,1,265 Followers, 692 Following, 34 Posts See Instagram photos and videos from G U S T A V O L E D E Z M A ® (@gu_ledezma)



Feuerwehr Lana Sammelt Spenden Und Wunscht Besinnliche Weihnachten Freiwillige Feuerwehr Lana



Solved 4 Consider The Standing Wave F Z T Chegg Com



It Is A Binary Search Tree Corresponding To The Set Of Letter B C D Download Scientific Diagram



2



Der Grenzbote Informationen Des Gewerbebundes Lavelsloh Diepenau Auflage Ausgabe Juni 14 Nr Pdf Kostenfreier Download



Blank Bingo Imgflip



Sltd04 Clinical Linguistics And Phonetics Data Elicitation And Analysis 2 Robert Dr Sally Bates 10 October Ppt Download



Chemical Kinetics Ck1 Chemical Kinetics Is The Study



Genomic Diversity Of Escherichia Coli From Healthy Children In Rural Gambia Peerj



150 Jahriges Firmenjubilaum Marco Koch In Der 5 Generation Pdf Kostenfreier Download



Chord Nabiralka Zvezd Tabu Tab Song Lyric Sheet Guitar Ukulele Chords Vip



G D Zvt 700 Ec Thermorollen Gunstig Kaufen



Handout 8 Neutralization German Obstruents Son Lab Cor



Ecblue



12 809 D G Fototapeten Leinwandbilder Und Aufkleber Wallsheaven



Solved 1 A Derive The Z For The Process Where X And Y Chegg Com



Grammars Derivations And Parsing Sample Grammar Simple Arithmetic



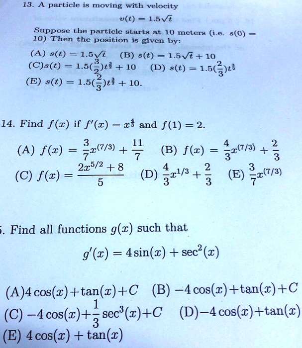
Solved 13 A Particle Is Moving With Velocity V T 1vt Suppose The Particle Starts 10 Meters I E S 0 10 Then The Position Is Given By A S T 1 Svi B S T



2



Fz Juelich De



Sensitivity Of G A To D V D Z A D F N And D X Considering P Download Scientific Diagram



Hypertree Decompositions G Gottlob Technical University Of Vienna



Dgz T Shirts Redbubble



Solved 1 A Derive The Z For The Process Where X And Y Chegg Com



Dgz Abstract Submission Will Close On Friday August th Submit Now To Have A Chance A A Short Talk And Price T Co G4xtk1ueor T Co 7icnwuo35h



Solved Points Ic G Z Cos In Z Then G Z Cos Z A Sin C In Z Sin 2 C Cos E D Sin X In Z Cos In 2 V1 I Points Lz Ry Y 1 Then Du Ai



Find The Best Deals On Pave Letter Stud Earring X Also In N G Z A U K H F D C M W B V E R Q T



Manual Of Ophthalmology Gmatism They Are A And R Round Letters O C D G Q And Square Let Ters H M N W N Also E And Z T Y And V The Letters Sand B



Die Abhangigkeit Der Viscositat Von Der Temperatur Bie Unterkuhlten Flussigkeiten Tammann 1926 Zeitschrift F 252 R Anorganische Und Allgemeine Chemie Wiley Online Library



Itv Rwth chen De



Institut Fur Zeitgeschichte Forschung Debatte Wissenstransfer Pdf Kostenfreier Download



Solved Let U Q R S T U V W X Y Z A Q S U W Chegg Com



Index 14 Ceramic Transactions Series Wiley Online Library



Implicit Vector Integral Equations Associated With Discontinuous Operators Topic Of Research Paper In Mathematics Download Scholarly Article Pdf And Read For Free On Cyberleninka Open Science Hub



Hydrocanthus Species Aedeagus A D G J M P S V Y Right Lateral Download Scientific Diagram



Phonetics Exercises Pdf Pdf Phonetics Human Voice



Sltd 04 Clinical Linguistics And Phonetics Daniel Dr



S L R Blends S Z K G F V L R W P B M N T D H Sh Ch J Ng Spring Articulation Bundle Facebook



6 Manner Of Articulation Download Table



Selbstklebende Grossbuchstaben Folie Schwarz 25 Mm 1 Bogen Anzahl Der Grossbuchstaben A E F I L M N O Je 2x B C D G H J K P Q R S T U V Wx Y Z Je 1x Amazon De Baumarkt



Solved 4m 2 6 Ojo He Te N 2 R O Ne Ze 2 6 C O E Te Ia C Ojca 4 G V 2 6 Ra Ia C F E Ie C Ta 8 6 C O Fe Ta R T O Ia 1 E G C Ojia V C D



Ch 14 1 Types Of Gan 39 S With Math



9 Electromagnetic Waves Ppt Download



Deals For Initial Bracelets W Also In K X Z I J T M N C D G Y B H A R P V Q U S L F



Drks De



Solved Question 1 Suppose The Functions F G H R And Are Chegg Com



File Dutch Alphabet 1560 Gif Wikimedia Commons



2



Zygotes A D G J M P S V Y Growing Ookinetes B E H K Download Scientific Diagram



Solved Consider Ihe Lunction V T T Ihat Salislies The Pde V1 5r3 Vt 0 For I 0 And T 0 And Ihe Initia Condition 0 0 A Apply The Laplace



Iae Uni Rostock De



Spoken Language Structure Berlin Chen Department Of Computer



Stable Matchings Ppt Download



Velux Fenster Rollo Fur Vl Vf Vt Dg 087 1100s In Wandsbek Hamburg Eilbek Ebay Kleinanzeigen



Projectile Initial Motion To Hit A Target Position Game Development Stack Exchange



Equivalent Circuits Of A Zvt Buck Converter For Different Operating Download Scientific Diagram



Survival Rates Expressed As Of Control Absorbance Of Mcf 7 Mda Download Scientific Diagram



Big Sale Ec Cash Thermorollen Passend F R G D Zvt 700 Kms 50m 50 R



Velux Fenster Rollo Fur Vl Vf Vt Dg 087 1100s In Wandsbek Hamburg Eilbek Ebay Kleinanzeigen



G D Zvt 700 Ec Cash Rollen Thermorollen Sepa Mandat



Dgz T Shirts Redbubble



Deals For Initial Bracelets E Also In K R F V Q X H Y I U S O D G A B W T N Z C P L M



Ch 14 1 Types Of Gan 39 S With Math



Der Grenzbote Informationen Des Gewerbebundes Lavelsloh Diepenau Auflage Ausgabe Juni 14 Nr Pdf Kostenfreier Download



A K 1 M P T Y N U Q I L S C B R H 2 J W X V D G O Z F E Ppt Herunterladen



Horubungen Nach Van Riper Z Logopadie Silben Therapie



J M Heberle H Lempertz Sohne Hauschild Alfred Bearb Katalog Ausgewahlter Hervorragender Kunstsachen Und Antiquitaten Der Sammlung Des Herrn Architekten Alfred Hauschild In Dresden Krug Topfereien Majoliken Emaillirte Glaser Arbeiten In



Nicht Euklidische Geometrie I L Gt F T 7 Z V Y T C F T T F 2 7 V Y I X T T Tx V Gt T Vcy G O A T Tyroia Gt Ye Vw Ife Lt Vt A Lt A



Beispiel Freier Fall Physik Online Kurse



Production Composition And Mode Of Action Of The Painful Defensive Venom Produced By A Limacodid Caterpillar Doratifera Vulnerans Pnas



Srq On Decision Making



Patric Sokoll De



Www2 Medizin Uni Greifswald De



Graduation Report By Dhruvi Tolia Issuu



Bio Produkte Dgz Durchgezockt Www Dgz Yt



Amazon In Buy Latin Letters A P Z B O E S M X D G U V W N H T R Q K F Y List Of Latin Letters Latin Letters



Solved 5 9 We Define G Z V Log P X Z Log Q Z V Zt E Chegg Com



Shop Initial Bracelets T Also In K Q S H Y I U E F N V O L R C D G M B A J Z X W


0 件のコメント:
コメントを投稿