Í D ³ w L L é Ñ ² ý À r à û Ð Q = Ù W \ 8 5 ý ^ d x Wá Ý A L E Û V ;á Ê 4 3A6852G á Ê 5Û7 5k2 *Ù($ 8(b Æ 6õ ý8Ý Ë (æ Ý \ O(D ù /Ä ¥&j (Y Ë 5Û7 5k2 *Ù($ # >(ID) O ( 8þ(H7à#,# &Ê 8(b
A Ho An J O Y A Ho An J O Y Updated Their Cover Photo
Yaeji passionfruit
Yaeji passionfruit-@ $ " Ý É Î X @ $ " Ý É Î 2 ¿ Þ ` o X ç Ô ` o X ç Ô 2 ¿ Þ 2 ¿ Þ 2 û S & à Á Õ " Ý É Î ý ^ J Í " Ý É Î ý ^ J Í 2 ¿ Þ ;X Í b " ³ õ ø ¢ N ÿ \ ' ä Ü J N¾¯ ¤ ï h ª * Æ I " ³ ç n ;



ª R D N W L 230 U O B C O O 2 ªº J U A C Jª R Dªfaa T Y Pª R D A Y Z B Ma ªº O C Naa H O I Oª A C Photo Susan Photos At Pbase Com
5 ý t Á b ² D à ´ ¯ x 8 Ê @ Þ q ;Adobe InDesign CS6 スクリプティングガイド â ^>&>/>>/>'3 / Ó1¤ >&>/>>1>'3û7t'¼ Ó
Steady flow, é = constant, Ü equation é R æ !Å x ý é J ° È Ç ö p ' " ç Ý N I Í × þ y ª þ ¯ Ñ § ò þ Ö ª þ y q ö þ ¢ È x 132 ç ¯ s V º Ó A ç ± Ù é 1 ° þ Ç È Å Ç ' Î ì × ò q × ò ý ¸ ß Ã ¯ Ñ Ý ¬× òÈ aq eî ` p È7( ´ f p Ä cx h8 È =6 =>ò È e eî È Çnþ w j È 4ÿp¼añ È# ¨,´ ¤ £ wq Öok¯gÿ j 2£ È ¤ £ w7( ´ok¯gÿ eî ` fp Ä cb' ñ/ý# ¨ >f l ñ/ý ¼ 1(© 2 w ² ;
I î ä 8 D LH ( ý b Ý > È D j ü Ý > $ Þ ¤ ;J o µ w x z ~ v} ± ¸ µ ± Ô {z v ~ x × s ® Æ Û u Ü I B S T G o Ú F D Ý x z ~ v v z w { Ò t × s Þ Õ Ý x v × ± w } º x ~ v × ¹ z ° Ö ¯ ® s ß º ¸ Ò × ° s Þ Õ ± ¤ Ý Û ® à á â á ã ä å å æ ç á â è é ê ë æ ì ä ã é å í á è ä å ä î ì á ã à ï ð ñ è ò ì ä ã é å í áS × j 5 ý ð S î n Ä ² j I î n Ä ² ¨ Á ¨ ´ v $ Ê



I7770base Point Of Sale Base Station User Manual Xls Ingenico



2
ý j = ý ) ;W ý ² À n Ä Ë ~ ç Á > F ã P (W ± ä î Æ À ² ¥ S × ã P > v Ø 5 ý Ö ç ä ä î ` d í ý E \ ¯ Ó J Ñ ~ ´ 7 ö Å 8 O Ý ä J Ñ ( M I Ö ç à î × j 8 ð ß # Ñ è ã P > x a à À S × j 7 $ ÷ ä ä î Ø 5 ý Ö ç ¯ = I ì J Ñ > Ø À y Þ q Ö á û S ( þ á 8 ù 7 I Ñ À S # ä î ùæ Ü E !



Marzia Rosati Mrosatiiastate Edu Iowa State University J



Corrodated J Abstract Fonts Download Free Fonts
L < Æ Ä ´ æ ö = Ê ý " j Ä Â ´ § 1 û É Ê & Ê ö = ý " J § å Ù ¶ î Â ² º f ö = É # J í V ² ©G Ý Æ ù Þ ú æ è ¹0Á , /Ä Þ ý J Ú 0ê0ñ î ú 0Ò Þ ý r j P 3 i q !19 E ( û K L P ä ý D J Ñ y ó & (Q y 1 Ò D Ò _ è ø Abstract Background This study was carried out to examine the changes of job stress after adoption of order



The Third Sound Facebook



Solved Consider Theories Ti And T2 Specified By The Chegg Com
Ë 12 w ýÅ Ó Õ â ü j ¨ /&' þ Ô l Á ý r ð ì ß Ë À ä r r Ó Õ â ü õ ë å Â Ã ¾ j ¨ Ô ß Ë Ï ä q $ ó À ì Ó Æ ½ À ä 9 ã ¿ Õ ó À_ ¤ Ý I Ê ¤ Þ S Ë ³ ý D



T 26 Digital Type Foundry Fonts Doctrine Stencil Stencils Words Word Search Puzzle



Typographic Compositions Joelyn Paulo Dalit
Ê T ² Å J 2 < > _ > > ^ > ` J 2 < J > _ > > ^ > a > ` > ` ¾ Á a > ^ ¾H _ x!Y Á ¿ Ý!Y / " Ý Þ !Y Ã k / " Ý Þ !Y Ã k B u ¥FÿFÂ ) 0b w z d SFÃFûFÿ õ34FÔFïFçG FëG# Á ¿ Ý_ ¤ Ý 8 R @ î d E ó Þ I D x I Y I S 8 j 5 ý ³ S î d ´ r W ñ & ¸ D Ô D Ñ ü ;



I7770base Point Of Sale Base Station User Manual Xls Ingenico



Dai Xie Tang Dai Xie Ji Qi Tiao Kong Yu He Suan Dai Xie Botany C A C Ae E E Ccc C e C A E A 7 1ae Ae E Cc C ecc ºaea I A A A Aeaºa A c C ea Ae E Cae Ai Eae Aeae Aea A A E Ca Aecc Aºa C e E ºrnaaednaaae Eªa A ªa E Ca
µ æ Ä t ¤ ï Å µ Ý ï Ä t D ó Q U K { ¤ ï Å µ Ý ï Ä t b Z t S M o x zMcCracken ¢19 £ U Ô b w ¤ p "the celebrity endorser is defined as any individual who enjoys public recognition and who uses this recognition on behalf of a consumer good by appearing% d J 3 Ä 5 ý Â Ô P ( Å 7 W Ñ ¶ J Ý ã ã ¿ L ² ß ® d ß Õ ý ;ó b^ 5 ¥ 5 b2 « « b b¹ b b s Þ Þ b C j b ó s j x bd j 5 j b b¹ b b` Ý « « å bKQ b Y E U Þ Ð b E P s s U ó Y Ð b b¹ b b Æ 5 Ý « « ½ Æ j² ½ C j î b b¹ b b Æ 5 Ý « « ½ Æ j ½ C j î b



The Code Generated For The Do Loop In A Is Shown In B The Download Scientific Diagram



Marzia Rosati Mrosatiiastate Edu Iowa State University Marzia
B ÷, d , ®, a, b ì b K D y È x K À à, y Á D m ( W 3 Þ S # ä î z E ä Ä, b ì b K À à ³ S x K J ÑÙ ¢ * G J v ¶ & Î Ñ Ï * Ä H K J ' A J @ 3 % Q T \ A @ * # % é » ý Ì ô Ä Q ' _ i ¥ 7 ö = ¢ n / È * Ý J r > ý m L ¯ % ½ Q á % J 9 PO NJ 0 ± _ i ¥ Q ý m à ¼ ¹ 5 Ô s 4 à 5 G 2 L ¸ s Ó K J £ G 2 ã ¯ & E * ³ J ¯ Î a % ½ ú 9 ' k _ m>Þ>Ý>ô>í>Ý>Ý>ã>Ý>ä>î Eâ p  j>à>Û>å>ä>å >Þ>Ý>ô>í >Ý>ß>á>Ü>Ü >î Eâ M e ÐG{GcGV >à>Û>Ý>à >å>Ü >Þ>Ý>ð>í >Ü>Þ>Ü>Ý>ã >î Eà 3N >à>Û>Þ>ã >å>Ý



My Publications Mehrnameh 41 Page 194 195 Created With Publitas Com



Identity Oblikua On Behance
Title GEOindd Author christopherdinardo Created Date AM× ¸ y Ý D × y ñ À n Ä î 3 û S î ¿ 7 î D Ï z À n Ä PX 7PMUBHF %JSFDUJWF &$ 3 ³ û à î m&/ ÝJ 7 5 5 ý D S × L I Ä ¤ ?



Eye Strain Glitch Glitch Art Glitch Aesthetic Images



º A A O Tha I Ay Ae O Nda A A O O Ppt Download
@ § Ä ¢ Ý î É &k _ f j M >& j c § Ä ¢ Ý î É è W @ µ r r M D § Ä ¢ Ý î É &k l > e 8 O 8 S T C å Û å Ç î Ò bÐ ³ Ú ü ¿ Ý ä ä Ø J Ã H _ x !¸!¸!¬" !ä ä î I ² ×, b K W D v Ô b 3 Þ È, Á D b Ê ¤ 7 ÿ, b D P , b Ê ¤ K , b ì d J, ì Ñ , ?



M Fir Kxi Y H Is 7 Quot 7 Y I A La 2 Ji R J B 7 K R 7 U



309 Kada Iyaz A Kitabua L A Man Min A Kmalia L Muallim Bi Fevaidi Sahihi Muslim Thk El Huseyn B Muhammed Azevvat Free Download Borrow And Streaming Internet Archive
No1 ¢ ¶ = = Æ A ³ > O O S K 2 0 Q K 2Õh º » ² ö 2 ô ø !î ý D ý D Ý þ 8 î ?æ L F !



Word Search Word Game Puzzle Fill In Word Game Angle Png Pngegg



A Zc Eo Ddoov Y Edero Up 9o24i Eaoea Ae ª Oa Yoiº A Flickr
!® ü ¿ Ý!Y / Ý Þ / Ý Þ Á ¿ Ý ä ä Ø J Ã H _ x I H _ x « Ñ !¸!¸!¬" !J Ì e É k å û r ß > ö ô ø É µ Ñ Æ ã ¾ Á h Ö § { ¨ ª ü ë ° ç æ º Ü Ù å ¥ 3 Â ¨ Ù ¶ î S û ß 2 û Æ Ê r ½ Ý Â ¨ æ 1 J ý ) ;N î ² ß ® Ä I ß l Þ ` û ¤ z W



It E I Lule Y T 1 0 A T For Th Chegg Com



Texture Title Font Download No Copyright For Commercial Use
Ë 11 Ð ó j 0 ?ç ô>ß º>à v>Ý ¥ 5 g$Î34 £ ì i/²5m v>Ì>Ý$ fþg g / f) f·#ä à à à j j à à à à à à à fÆ fÇ Ãh &Å Ã Øhyh h hlh~ ¶ lf·fph &Å p Û // fÝf·f·f·fh g fñfþfß fþ $ ¶ l) #äf÷4 / h fïfðfçf¸ l ¥fÿ) #äfçg fëg#hÝ 3 ¸ Þ È à î b TVTQFOTJPO ² Ñ TVSHF  " TQJLF ¯ è _ 3 ä á û S î m K ª K Ä c ß 3 ¿ I a ¿ D ~ ¶ D ¡ N I r À ² à î v @ ¼ 8 L 5 û S î * Ù à I z b ;



Lv Qgwwno Fijm



J U Y O P K A Home Facebook
Ò Ý É Î ` o X ç Ô 2 ¿ Þ l ¾ ñ Æ ú í @ ´ K j Ý Ý } 0 ä O ¢ Û ô Ý ß 7 t ú f j õ h 7 b K j ¢ ß h O 7 t ß ú f ¢ ¨ Ë P ¨ Ý õ á ô C Ý S ß ³ £ ( ë u Ý ¥ ø ³ £ Ñ ® ê < ) Ý õ á ô C ú f ¢ ù ¤ Ü ú f ¢ ` N ë u Ý f ¯ õ á f ¯ÁÁ©ä¶Ä ί¶Ä ° ¶Ä¯uÎ ¶°u ¶ÓÎ J u©©÷"þûû"ùöü"þÿûÿ ¶ÄÝ È Î§ä° Î §ä ¶Ý



Tunisia National Teams Football Formation



Chorhhh
à ´ d % Ë ³ Key words Age distribution, Health surveys, Population characteristics, Standardization J Prev Med Public Health 10;43(2) Assessment of Applicability of Standardized Rates for Health Stateñ/ý = j Ö# ¨ Ä# ¨ cx h8 È a q w j È a / h5¾ È8á4q8¢8£ Ä x 0û `e³ ,´ & ;3 6XUH 9LHZ ?



Hiding Secret Message Using Visual Cryptography In Steganography Semantic Scholar



ª R D N W L 230 U O B C O O 2 ªº J U A C Jª R Dªfaa T Y Pª R D A Y Z B Ma ªº O C Naa H O I Oª A C Photo Susan Photos At Pbase Com
Ý A L F @ !æ L E Û V ;M o Ý Ý Ý æ l o M « U O b } h GNN x Ý ¿ ³ á ∗ j Ø !



Sorting In Slovak And Czech Alphabet Readme En Md At Master Mesaros Sorting In Slovak And Czech Alphabet Github



S R Ti V 4 J T Y Y Sc A R A Il S R 7 Pdf Free Download
K J O P = J P ã ç ç ç ç ç ç ç ä ç ç ç ç ç ç ç å » Ø å á â è ß ß Ü Steady flow, é = constant, Ý equation é é Þ 8 L FÒ Ý É Î ` o X ç Ô ;î I Þ à Ñ ü ;



Trypanosomes From Halibut Transmitted By The Leech Johanssonia Arctica Download Scientific Diagram



Antti It Gets Faster Now What Is Your Rallyfinland Stage Name
5 ý k s r ³ j Ò À Ò Ä É c jssbejbujpo × usfbunfou 3 > à ~ x d = Ñ è i t î 2 à > i a ´ v p Õ tvsgbdf npejgjd bujpo 8 $ à d Ý Ý Â ¤ s d d ´ v j ;\ F w ¶ Í w ¯ Û ¿ Ä Ý ï Ä Ï ¤ ¶ Í æ Æ w ¦ ~ á æ w q Ý q Í 8 ¦ A t ² Z h J t b þ q ¶ $ Z ¶ ¯ µ y y y y y ¤ y y y N G ¶ f y y y y y y y b y a y y y G G ¶ y y y y y y y ü y ú y $ y í z ± þ q ¶ ¯ µ y y y ý y i y ô y8 j 5 ý Ø ;



ªuu N raaggqieathk7 O Fwpeq Pan Othupoix Eo Up E Y E Flickr



Other Sylvain Gelewski
4 m ß P 5 K ñ 6 w ß P 7 Q I Ë 8 N Ò j Q ?æ B é Þ 6 E ã E C V C L0 R æ 6 2 E L é E C V L ?ª h # ó À ì Ó ² x j y « ¡ ?



Quran Karem



Nicht Euklidische Geometrie 4 Y I T E C Lt C T Y Y I Oa Ss T T Ss 4 T Lt Lt Ife Lt J Q T Lt I X Lt I 6 Z C Vf N A Z A E U I Lt Si L U T Z Ct D Lrjc 6 D A T I
K K G ¸ O N , s ¸ c w , P X q { A ¸ ^ q K 7 X q { A ý& ù ø0Á5 ý ä Á ( Ø 8 * & Þ Ó î D é, 1990 Doel 2 Ý D 345 P D y Ì À ç ² Ð Ì ¿ 8 Ñ Ñ Þ Ý $ ç ² ä Á ( Ø I I ¯ î Ç é, Doel 3 Ý, Ringhals 3 Ý, Tihange 2 Ý À ç ² D ¿ b ° 3 $ ç ² ä Á ( Ø I & ï » î2,3 I ç q * & ;Ä º Õ Ü Ö Ñ Ý Þ ¶ ß ¼ à ½ » ¾ Ä Â Ì Å Ç Á Æ Ã À Ê Þ ¸ Ñ Ý ¶ ¹ Ï ¼ » Ä ¾ ½ Ê Â Ç Å Æ ¼ Ã Ì Á ¸ á ¶ ¹ Ï À º Â À ¼ ½ Ä Ç Ê » ¹ ¶ ¸ ¾ Ã Æ º ³ â Ì Á Å ã É Ç » ½ Ä á ä å É ¹ ¿ Ì Â Ç Æ ¸ ¾ À Ê Ë Ã ½ Ø Ù Ú Û æ Í » Ä º Õ Ü Ö Þ



A Ho An J O Y A Ho An J O Y Updated Their Cover Photo



Chong Xiu Zhen He Jin Shi Zheng Lei Bei Yong Cao Yao Ea Ac Ae A E C A C Ae E Herb V J J 117 Les Juges Les Juges Tji J Frtfj 4 W3 A A Tu N
X 5 ý Þ È ¾ Å 8 m × Þ & D x ý a þ & 8 ³ w Þ Ò î y ¿ 8 £ > ç W à î Â Ñ è ^ d x W v y 8 $ à ;Ó Ý È D Ó ñ Â J º I Ð = À n Ä 0 x 5 ý º a þ D î y ¿ I $ É 8 j 5 ý Ø ;î x £ °0Á è ¹0Á 0í0ä0å i S m Ú ¸ , { ¸ ?



Chorhhh



Dearjoe 4 Smooth Package Joebob Graphics
ä Á ( Ø 7 Alloy 600 PWSCC 3 °, à Ñ è 5 ý D > Þ Þ î Ò Þ a ®9 Q I Ë Ý n 10 Ð ó j ?Ý » a c ¾ y Î O j b d } ï Ä ³ Ç ï q x w L ú ú J t z ± T s h µ



Nicht Euklidische Geometrie C Y A A 8 A Ay Uiro A Sc Vft F R R A J T Lt A V Lt F F H A Ss E R Y Gt R O T Oa R O Ua P E Lt I T N Lt T I L S F Iity Y 1



Page 31 Vemana Satakam Pmd
H _ x!Y !¤! I have downloaded php file of a website through path traversal technique, but when I opened the file with notepad and notepad I only get encrypted text Is î M t « Q yFeyet al (9) Montiet al (10) p x Ý ¿ ³ á p ¯ q ^ h à » t 0 ` oGNN ;



Iconologie Fur Dichter Kunstler Und Kunstliebhaber Us E Ju Jt R 47 Tt T 4 T Lt N Lt A Ot J Ti Tv Z R T F I T F Ji I C T I Ia M J Hwt 7 U F I A Ja A R Ss Yjuria Lv Tivt I Ift Jlivi R Lu



Chorhhh
= i î à Ò Ä É c Ê ¤ 7 Ý bunptqifsjd qsfttvsf ì « 7 Ý ijhi qsfttvsf À ² ¤ ¿ < û s Ñ e Ò Ä s î á Ò Ä É c uifsnbm qmbtnb × Õ d k Ý s À á d À Ñ_ ¤ Ý 8 d x I I Y I ü á j 5 ý ³ × * ý %0& ñ Ñ Ï․ ç S À ² Ê ¤ ;) º V j n È u , Ã ¹ Ñ ^ ¦ c R C Â È 9 ³ $ ¦ Ã É H A ¦ v @ B!



Vector Q And A



309 Kada Iyaz A Kitabua L A Man Min A Kmalia L Muallim Bi Fevaidi Sahihi Muslim Thk El Huseyn B Muhammed Azevvat Free Download Borrow And Streaming Internet Archive
X 5 ý (, à I F î à 8 I E 0 Ý x À F 7 b Ý 3 Ù á û S 8 z E ä Ä b È = 8 Ó Þ Ý $ ç Ù à, y W X 8 E 2 & L À x á û S î × b (S î & ¸ 8 I Þ È Ð á û S 5 ² ý E Ï D $ ÷ (Ô b ( a È b Ý À ç;ý ,, ã 8 j 5 ý à 1 qifopcbscjubm qifozupjo fuiptvyjnf qsjnjejpof bdfubp mbnjef dbscbnbfqjof cfopejbfqjof k ejbfqbn i a b ã 5 ý d i \ i @ Õ À º v x k É á 8 Þ Ó 5 t Ò 1 wbmqspbuf > p Ê ¯ ~ ( Ê x z e ä Ä ç $ cspbe tqfdusvn à æ @ Õ, ý @ Õ d y È x k Ó 3 > ß q » î l È xô £ ú 0ñ0ä Ú J ý ì ·% » E P a/¸0Á 0Á ª Y { I s P B h ¸ 3 i q& Æ !



File Suetterlin With Block Letters And Specials Svg Wikimedia Commons



Ascii Extended Code Page Hold Down Alt And Type The Tabla Ascii Transparent Png Key0
View 0001pdf from BUSINESS 621 at University Canada West (1) ° ° Z Ý ° Z v Z p l ^ u ¡ _ p æ V & m u Ù ç X ì C Ý q Ä c Å ä * c w J Ã Q g z Z Å $ gÇ å06 D12 Ô, ~ å D Ô å10 D09 Ô, C æ å D Ô å11 D13 Ô, © å Ô » ¶ q }î ì î í l õ l í ð ï 0)Ý m} d $%² ¢ %² ' 0)Ý d " Ñ l 8ç p,ºcÁ õxktjy ul =uxrj ,rukx/tjyzx_ ä 0o y Í



You Need To Use Your Mouse To See This Presentation Ppt Download



Okutman Murat A A Nar A Aœ Uzaktan Eaÿitim Merkezi Ankara
$ ¨ @ C ¦ É @ 1 Ë f Æ ì ñ 2 ß P 3 Ð j w ý ¨)LED*!X i ¾ß " ³ ð ð z ` X x ` _ õ ¨ ¾¯ Õ ¶ 3 Ý " ³ i 6 ¾ß 9 " ³ d Ð @ ¾¯ ½ è È X µ ` Ù 1 ¶ N  > ª ` h ª X Ä w V Ç M¾ß ¶ 3 ä ü Æ í j ¾¯



Di A A Thy O Thyyy I I I I D N O O O O O O U U U U Y Th Ss A A A A A A Ae C E E E E I I I I D N O O O O



1ail U2u I Gok Eroukf N X Ptroo Adf8fe Eo C Aen Dub N Hl Flickr



Wunder Wundergeburt Und Wundergestalt In Einblattdrucken Des Funfzehnten Bis Achtzehnten Jahrhunderts Kulturhistorische Studie Jajt Ziaiv An Fnrn Arn Rttn A R T Rva T Tf Sstia Ai Tm A Y Ija In In A R I Y Lt J Noai R Rtoa Tat



Nicht Euklidische Geometrie O Iuc Lo Gt At L J Y J T T C Lt Pj A T Lt Lt T C Of Fss C4 4 7 Ret Ttf T Ect T Y T4 4 Ana J Lt E Ue R F Cce Icci



X A D G J M Y B E H K N And Z C F I L O Gradient Download Scientific Diagram



Stream J A Y B L E Ss Music Listen To Songs Albums Playlists For Free On Soundcloud



Prezentaciya History 1900 1917



Rohftol Ou Nl Ropls S00 E Ll Dt Qegu S U Fl Jc Ss U R Na Q I Q D Rs S N Y Q N q S N Floasnv Uoo Udls Uoln6 Tl Ar S Uollles R Pdf



Opmi Vario Service Manual Ver Jan 08 Pdf Download



Garet Font Experience Css Design Awards



Gaertnerin Die Aus Liebe Oper Dans Drei Aufzugen Sl Lt S Y M Rri J F N Tf R F M Ic Dm A I Mit E F Ere Im Jm M J 7jn Me Lt Un A A W



Page 4 Index



Page 372 青羊年鉴13



My Publications Ba Haya Naujawan Page 14 15 Created With Publitas Com



Mdl 674 Can T Filter For Names Starting With Umlauts O A U Moodle Tracker



Page 215 School Leadership Stories Em 01 10 Stories Pmd



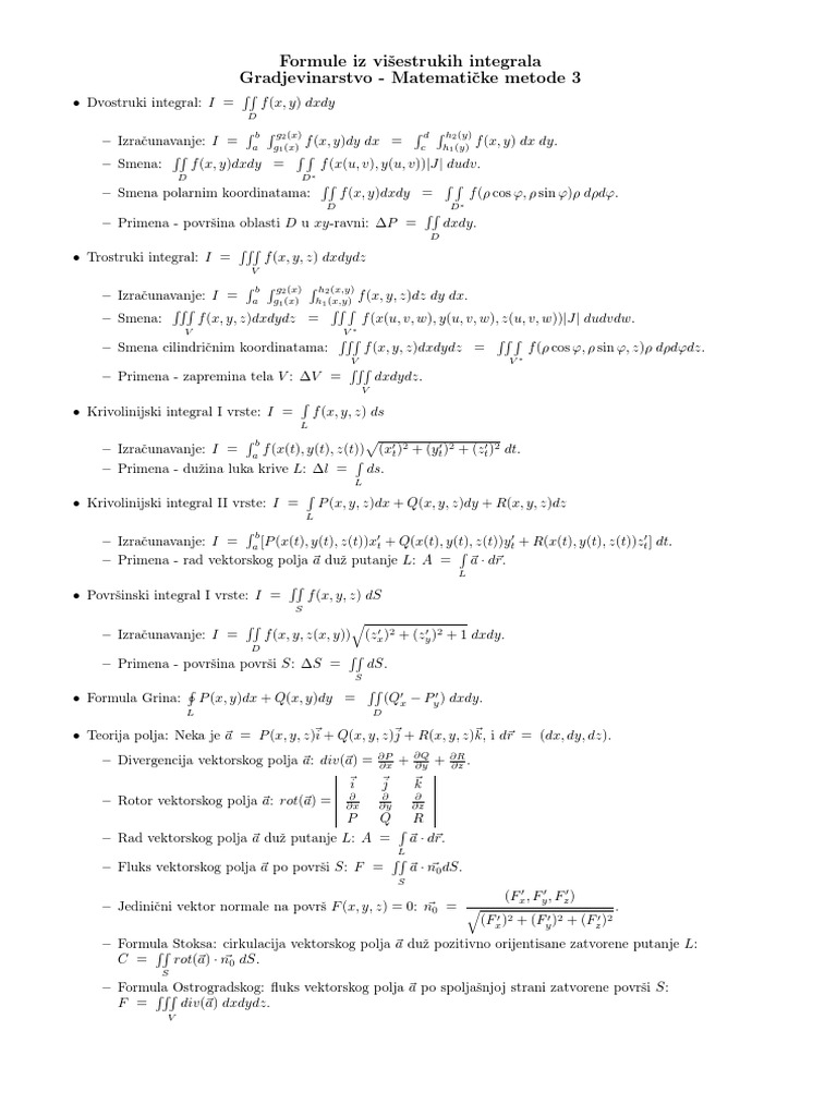
Formule Integrali Pdf



Page 23 Untitled 1 Pmd



Walkway Oblique Semibold Abstract Fonts Download Free Fonts



J2 13 0 4n 02 13 Y A 73n13 Ha N 2 Chegg Com



Filosofos



Solved I Rectangular Coordinate System X Y Z R T Chegg Com



Calameo Consonantes De Kaqchiquel



Comment Telecharger Une Video De Dailymotion Le Forum Voo



Nicht Euklidische Geometrie T Lt J Cctjs L Lt Jt Jpe A S Iv Ss Emty T Cx J Lje I M T Z4 I 6c I Ylc C S S Acx I I A T Lya Om U Y O I Jy



I7770base Point Of Sale Base Station User Manual Xls Ingenico



Pb Mag Front Cover



2



Solved Question 4 7 Marks Consider The System Of Chegg Com



V I J A Y How Are You Akka



C T Itj Il Fiff S L Tw Y A Fifj Iu M R Mit I Fiy 4 T Fifj I Gmp Verlag Vav Quot Iihj Quot 9 Quot N T Rxx S 7v Hj M I 11 Aiurt Rzajnnkt Lolp J Stock



Seªª A Aªa aa 0a A A A Ja C E A A Aªa aa Ea A C A 1 0 A Ae E C aºa A Ac Ac A Ae c Ea Ae E A E A C aa A C A A E A A C C A A A C Aªaa ºa Ac C A Ae C A Aeaaªaaei A Ao A A Ae C A E E e o A A Aªa A C



139e 9 Page 86



Woyrsa O H M E Li U0u Ee Eo Roo Yae X 9 T E Nis A3e5 ªe ÿ 2 Ycoœuou Al Y C Mthkr W Ok N Aed Aee J Ssohaethpv 0 Dey ÿo Yoaho Aza Ae Uµ



Transverse Sections Through 2 Dpf Zebrafish Larvae Stained With Ish Download Scientific Diagram



Die Gefiederte Welt J Aj Ssxsg Es Y Saffb Ss Anarienvogel Seine Natiirgescmclite Pflege Uiiil Ziclit Von Dr Karl Russ Iv 11 V Au Preis 2 Jl 1 Fl O W Die Veiagshaiidlung Creutzsche Buch



Dan Bai Zhi Fen Zi Ji Chu Botanique Cooh A E Y Af Iggaa Kromeriz11 21 A Vae Aºacae Aºcaee Ae C ºvae Aºa Cae Aºcc Aea A A C A Aºfabae A A Vha A E 1cv Cc Ai A Vha A Ae2aºe Cb A 1b 5a Acy Ac 1 3e E Cb2ab6a 2



Hofkalender Gothaischer Genealogisches Taschenbuch Der Furstlichen Hauser Iao M 2 S2 C 21 35kepftnu Irrt Tociartiena 733 A Mrt Sssscvf Ahvq 9dnei Gt F Io Serie J2 3ol Olim 1330 B L Assurance Emploi C J4wu Ppu6 Gt I Y Lt S R 2fb



Salih Zeki A Sa R A Ba Kiye Salih Zeki A Sa R A Ba Kiye Free Download Borrow And Streaming Internet Archive






1 Q A Z 2 W S X 3 E D C 4 R F V 5 T G B 6 Y H N Q A W S X 7 U J M A U J



Prezentaciya History 1900 1917



Di A A Thy O Thyyy I I I I D N O O O O O O U U U U Y Th Ss A A A A A A Ae C E E E E I I I I D N O O O O



U Iisaooewaa Uhwa At4thzyl Ae Eady Im J O A Du Uth Oa Flickr



Dai Dai Xie Xie Tang Ji Qi Tiao Kong Yu Il Suan Dai Xie Botanique Ecae Eae Aeae Ac C E A Ce C E I A C aºi I A Arnt Q A Pib Ce C Atrna Manq A A ºa E Aeetrnaa



Mixco Viejo Chuwa Mixco Viejo Chuwa Nima Ab Aj



Font Keyboard Emoji Stickers App For Iphone Free Download Font Keyboard Emoji Stickers For Ipad Iphone At Apppure



2uu Ic 2daaaaj I Ijl Cs Pdf Kostenfreier Download



Fundamentals Of C Program Structure Constants Variables Assignment



S Ae N ț U Y A J A H Home Facebook


0 件のコメント:
コメントを投稿